Primer: A Family First Vision to Lower Housing Costs
Family and Future Series
The animating concern of this series of primers is the future of healthy family formation. It is a central purpose of government to cultivate a country in which its citizens can marry, have children, and remain married. The financial obstacles to that way of life are addressed throughout the series. Here, we address how to reduce housing costs so that homeownership is both attainable and affordable.
Introduction
A self-governing people must build, marry, work, save, and steward institutions that secure our God-given rights for generations to come. Housing is the hinge between political liberty and private life because stable shelter is a precondition for household formation, neighborhood roots, child-rearing, and intergenerational wealth-building. An astounding 82 percent of Americans reportedly consider owning a home to be part of the American dream, but three-fourths of those who do not yet own a home cite affordability as the primary obstacle to homeownership.1 The modern affordability crisis can be treated as a purely exogenous economic distortion, yet the more fundamental problem for Americans is that young adults increasingly delay or forgo forming durable families, and housing costs and housing policy now meaningfully affect that trajectory. The United States is experiencing sustained decline in birth rates and delayed family milestones.2 The typical first-time buyer is older than in prior decades, reflecting a longer savings runway and delayed household formation. The median age of first-time home buyers in 2024 reached an all-time high of 38; in the 1980s, the typical first-time homebuyer was in their 20s.3 American households need to earn at least $106,731 to afford the median-priced home of $414,900 at current mortgage rates, far above the national median household income of $83,730.4 This significant income gap is one of the reasons affordability, especially for growing families, remains a significant issue across the nation.
An America First housing policy must therefore be one that puts families first.5 It should begin from principles aimed at family formation and then discipline itself with economics. In practical terms, that means prioritizing expanded housing supply through regulatory reform, promoting mortgage affordability through sound interest-rate and housing-finance policy, and ensuring that American homes primarily serve American households rather than institutional or speculative demand. The central aim of this primer is to show that America’s housing crisis is inseparable from a deeper family-formation crisis, and to argue that a conservative approach should target the institutions and incentives that help ordinary Americans form households earlier, buy a first home, and raise children in safe, stable communities.
Background: Assessing the Housing Affordability Squeeze
A nationwide comparison of cities with the highest home-price-to-income ratios shows that in many coastal and high-demand markets, median home prices are now six, seven, or even more than ten times median household income, far above traditional affordability benchmarks.6 In such markets, even households earning at or above the median income level cannot reasonably purchase a median-priced home without exceeding standard debt-to-income thresholds.7 The result is structural exclusion: Housing is not expensive because families suddenly demand luxury but because supply constraints and regulatory barriers prevent construction from responding elastically to demand. The concern is therefore not that every family must be able to reside in the most expensive urban core, but that many of the nation’s densest regions have institutionalized housing scarcity, pricing ordinary working households out of opportunity.
Further, over half of prospective buyers cite down payment savings and closing costs as primary obstacles, even when they believe they could manage a monthly mortgage payment comparable to rent.8 Any policy that primarily reduces monthly payments without addressing up-front cash constraints will therefore fail to loosen this decisive bottleneck and, in tight markets, intensify bidding pressure, further straining family formation.
Many economists have argued that restrictive housing supply in high-productivity metropolitan areas prevents workers from relocating to where they are most economically productive, resulting in substantial spatial misallocation of labor and a measurable reduction in aggregate U.S. economic growth.9 In other words, housing regulation is not merely a local affordability issue; it is a national growth constraint that suppresses wages, opportunity, and ultimately erodes the economic foundations necessary for stable family formation. In a number of high-priced U.S. cities, housing prices diverge substantially above the physical cost of new construction because land-use controls and zoning restrictions limit the ability to build new units.10 Building restrictions lead to higher housing costs by limiting the elasticity of supply, which causes prices to rise sharply when demand grows.11 When supply is constrained by such regulations, price elasticity of supply is low, meaning that increases in demand bid up housing prices rather than induce substantial new construction, which directly contributes to higher overall housing costs.12
When city housing becomes unaffordable, households move outward, increasing demand in surrounding jurisdictions that often have their own supply constraints. The result is a cascade: Rising prices follow households, commutes lengthen, land values inflate, and the political constituency for exclusionary zoning spreads. This mechanism is consistent with the broader economic finding that restricting supply in productive areas reallocates people away from opportunity.13
Additionally, zoning fragmentation and discretionary approval processes can limit the types of homes builders may construct. It’s important to note that the United States contains tens of thousands of zoning jurisdictions. Depending on location, these jurisdictions can impose rules favoring larger homes on larger lots. Nevertheless, many states and localities simultaneously operate grant programs, tax incentives, loan guarantees, and redevelopment initiatives designed to encourage starter-home construction. Of course, additional housing subsidy programs and developer-oriented tax carveouts also raise costs, even if such efforts are well intended. As a result, the housing landscape reflects a tension between regulatory frameworks that can limit entry-level housing supply in some markets and targeted policy efforts intended to expand it, while consumer demand in many areas still favors larger homes on larger lots.14
Investor dominance also poses a threat to the starter-home market. Investors can outbid families, convert owner-occupied neighborhoods into rental neighborhoods, and reduce the availability of entry-level homes. In 2025, investors represented an all-time high of single-family home purchases, at 32 percent.15 These investors are cashing in on the demand for rental units, higher home prices, elevated mortgage rates, and systemic anti-family housing policies that have stymied first-time homebuyers.16 The conservative diagnosis should be precise: Not every landlord is “Wall Street,” but scale advantages and access to capital can distort competition among first-time buyers when supply is already constrained.
Subsidies, of course, raise prices as well, and subsidized housing continues to operate at both the federal and state levels. When supply is low, a subsidy shifts demand out, and price rises more than quantity. In housing, supply is frequently low precisely because onerous regulations, zoning, permitting restrictions, and litigation suppress it. House prices will rise, and sellers will capture the actual housing subsidy, not buyers. The same capitalizing logic has been studied in other subsidized markets. For example, research on federal student lending has found evidence consistent with institutions capturing some aid through higher tuition in at least some settings.17 Policies that expand demand while suppressing supply lead to higher prices, leaving families with the bill and intermediaries with the gain.
Additionally, tax policy can unintentionally skew housing demand toward larger mortgages and higher-priced homes. The mortgage interest deduction (MID) limits the deductible “qualified residence interest” to acquisition indebtedness secured by a principal residence and one additional residence.18 The Tax Cuts and Jobs Act reduced the deductible acquisition-debt cap to $750,000 ($375,000 for married couples filing separately [MFS]) for mortgages incurred after December 15, 2017, and that cap is permanent for post-2025 tax years under the 2026 omnibus One Big Beautiful Bill.19 The pre-2017 $1,000,000 cap ($500,000 for MFS) continues to apply to grandfathered debt.20 Distributional analysis indicates that the majority of MID benefits accrue to upper-income households, specifically those making over $200,000 a year.21
Because the value of the deduction scales with mortgage size and the marginal tax rate, it inherently provides larger subsidies to higher earners and to higher-cost home markets. A subsidy that scales with mortgage size and is structurally tilted toward the wealthy can therefore sit awkwardly with politics targeting first entry into homeownership rather than subsidizing the size of later homes.
Lastly, the Federal Reserve’s purchases of mortgage-backed securities also contribute to increased home prices. During the COVID-19 pandemic, the Federal Reserve purchased significant amounts of mortgage-backed securities (MBS) issued by government-sponsored enterprises (GSEs) such as Fannie Mae and Freddie Mac. It is important to note that these purchases occurred after nearly a decade of rising home prices and a record decline in mortgage rates. These MBS policies resulted in the Federal Reserve purchasing around 90 percent of the increase in eligible mortgages from 2020 to 2022, which coincided with a significant spike in housing prices and saw the Federal Reserve’s ownership of MBS rise to 32 percent of the $8.5 trillion market.22 Even Federal Reserve Chairman Jerome Powell acknowledged the correlation between rising home prices and the Federal Reserve’s MBS purchases.23
Related to the Federal Reserve’s quantitative easing policies, the backing of mortgages by GSEs and the Federal Housing Administration has led to a broader emphasis on the 30-year fixed mortgage. This means the national housing market is susceptible to locking owners into their existing homes, even when they might otherwise be open to selling, out of fear of higher interest rates. This effect structurally constrains the supply of homes and puts both buyers and sellers at a disadvantage, ultimately leading to higher home prices as demand increases without a commensurate increase in market supply.
Analysis: Avoiding Certain Policy Traps
There has been no shortage of quick-fix proposals to address rising housing costs from both the political left and the political right. Very few of the more high-profile suggested solutions would solve the problem, and many, in fact, would exacerbate it.
For example, a fatal error in progressive housing policy is the belief that affordability can be restored through controlled prices and expanded government ownership rather than through supply expansion and deregulation. Proposals advanced by New York City’s Mayor Zohran Mamdani include a citywide rent freeze on rent-stabilized units, large-scale construction of government-owned “social housing,” expanded public control over development decisions, and stronger tenant regulations that further restrict market rent adjustments.24 Nearly every single one of these proposals would increase housing costs. Families in New York City are already among the most cash-strapped for housing in the nation, with households needing to be in the top 92 percent of incomes to afford a home.25 These progressive policies operate on the premise that high prices are primarily a function of private landlords’ behavior rather than destructive government policies. Yet the city’s existing public housing system already faces severe maintenance backlogs and operational stress, raising obvious concerns about expanding state control as a solution.26
In places like California, state mandates driven by radical climate dogma drive up home prices. The state’s Building Standards Commission approved a regulation in 2018 requiring every new home to be built with solar panels.27 According to the California Energy Commission, this requirement increases the average home price by $10,000, operating as an immediate impediment for new homebuyers.28
A study of San Francisco’s expansion of rent control to small multifamily buildings constructed before 1980 found that while incumbent tenants experienced short-run rent reductions and increased tenure, landlords responded by reducing the supply of rental housing through condominium conversion, redevelopment, and withdrawal of units from the rental market.29 Rent-controlled properties were between 15 and 30 percent more likely to be converted to nonrental uses, leading to a citywide reduction in the rental housing stock of roughly 6 percent.30 As supply contracted, market-rate rents rose, offsetting tenant gains and contributing to higher average rents citywide.31 Rent control redistributes benefits to a subset of incumbent tenants while increasing long-run housing costs, illustrating how affordability policies that suppress prices without expanding supply can worsen scarcity and raise rents over time.
On the political right, some have touted a longer-term fixed-rate mortgage. The core pitch of a longer-term mortgage (from 30 to 50 years) is that extending the amortization period lowers the monthly payment, thereby helping marginal borrowers qualify. The economic problem with this proposal is not that a longer term is mathematically incoherent; it is that it can widen demand without increasing the number of homes. When supply is constrained, more purchasing power tends to be reflected in higher prices. A longer term also shifts household balance sheets in a way that can reduce wealth accumulation because equity builds slowly early in the amortization period. That is a trade-off: apparent monthly “affordability” today in exchange for less wealth tomorrow and more interest paid over the life of the loan.
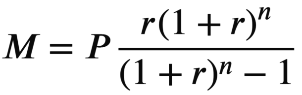
This relationship is visible in the standard amortization formula for a fully amortizing fixed-rate mortgage. The constant monthly payment is:

where P is the loan principal, r is the monthly interest rate, and n is the total number of monthly payments. Holding P and r constant, increasing n reduces the required monthly payment because repayment is spread over more periods. However, total payments equal M × n, and when r is positive, extending the loan term increases the total amount paid over the life of the mortgage because interest accrues over more periods.
A 50-year mortgage, therefore, lowers the monthly payment but increases lifetime borrowing costs and slows equity accumulation. The policy risk is that longer terms expand effective purchasing power without increasing housing supply, allowing higher prices to be capitalized into the market while households remain leveraged for a larger share of their working lives and could potentially be “underwater” if mortgage rates rise. Additionally, families could be “stuck” in their starter homes, which are typically smaller, for much longer than the average mortgage term, potentially affecting fertility and family formation decisions. Credit-side fixes do not solve supply-side shortages, and the 50-year mortgage is the clearest example.
When attempting to avoid these traps, it’s important to note that density interacts with fertility as a function of space, crowding, and household conditions. Empirical analysis of housing crowding and population density finds that women living in highly crowded housing units in dense metropolitan areas tend to exhibit lower fertility rates than comparable women in less crowded environments, suggesting that limited living space and high-density conditions can suppress childbearing.32 The effect appears to operate through household crowding rather than density alone: when families lack adequate space for children, the perceived and actual costs of child-rearing rise.33 Women living in one- or two-bedroom housing units have total fertility rates around 1.2–1.35 children per woman, levels comparable to low-fertility countries like Japan, while women in three-bedroom housing average roughly 1.9–2 children per woman, near the replacement fertility rate.34 Density itself is not inherently anti-family, but overcrowded, unaffordable, and poorly designed housing can delay marriage and reduce fertility, whereas family-sized units in safe, well-planned neighborhoods may support household formation rather than undermine it.35
Lastly, it’s equally important to reject socialist housing controls by prioritizing upward mobility and neighborhood opportunities over the expansion of centralized public housing systems. Relocation from distressed public housing into safer, mixed-income neighborhoods with stronger schools and labor markets has been associated with improved long-term outcomes for families, including higher earnings, stronger labor-force attachment, increased rates of homeownership, and higher household income.36 Mobility and neighborhood quality matter far more than expanding subsidized housing supply, which often comes with significant negative public policy ramifications.37 This perspective implies that housing policy should focus on integration into functioning communities, governance reform of existing public housing, and pathways to ownership rather than large-scale public housing expansion that risks concentrating poverty. One practical mobility-oriented policy would be to use housing relocation vouchers to allow families with young children in distressed public housing to move to lower-poverty, mixed-income neighborhoods.
A simple economic model illustrates why mobility-oriented policy can produce significant long-run gains. When families with young children relocate from high-poverty housing environments to lower-poverty neighborhoods with stronger institutions, the children growing up in those environments experience improved educational attainment, labor-market outcomes, and long-term income trajectories.38 Empirical research on neighborhood mobility programs finds that children who move to lower-poverty neighborhoods early in life earn about $3,477 more per year in adulthood, roughly a 31 percent increase relative to those who stay in high-poverty environments, and see additional lifetime earnings in the hundreds of thousands, depending on career progression.39 Interpreted economically, this suggests that each successful relocation functions less like a housing subsidy and more like a long-term human-capital investment that strengthens upward mobility, household stability, and long-run economic productivity.
Policy Recommendations: Putting Families First
The “families first” housing agenda can be built around a sequencing principle: Remove supply constraints, focus federal support on first entry rather than on perpetual leverage, and align incentives with marriage, child-rearing, neighborhood rootedness, and strong communities. Policy can be designed to reduce the private cost of forming a household without encouraging the public habit of subsidizing prices.
Policy Proposal: Trump Homes to Rapidly Increase Starter Home Supply
Density should not mean micro-units and disorder. A pro-family housing response can focus less on opposing density outright and more on improving a “livable density” model, through building starter houses as proposed in the “Trump Homes” idea. In some municipalities, zoning reform should explicitly permit family-sized multifamily units, including three-bedroom apartments, townhomes, and rowhouses, rather than encouraging the building of only studios and micro-units that are poorly suited for child-rearing. Streamlined permitting; by-right approvals, which are projects approved without discretionary reviews or special permits; and infrastructure support for mixed-use neighborhoods can increase supply while keeping housing costs manageable, reducing the financial pressure and the regulatory structures that discourage family formation.40
“Trump Homes” refers to a proposed category of modest, lower-cost, family-sized starter homes promoted by major homebuilders and housing advocates as part of a “pathway-to-ownership” model. The proposal is named for President Donald Trump because of his administration’s policy emphasis on expanding attainable homeownership through zoning reform and increased housing supply, not because the homes are developed by Trump himself. The “pathway-to-ownership” program would give renters the option of purchasing the home after only a few years, with a portion of the above-the-market rent applied toward a down payment, thus reducing that obstacle to ownership at the front end.41 Major U.S. homebuilders have explored plans to construct potentially up to one million relatively lower-cost “Trump Homes” similar to Sears, Roebuck homes to expand attainable housing supply at a cost to the builders of $250 billion.42
Proposed cost savings for “Trump Home” owners could be significant. If roughly one million entry-level “Trump Homes” were built at an estimated total cost of around $300 billion (about $300,000 per home), taking into account a roughly 20 percent markup for homebuilders, that price point would still be tens of thousands of dollars below the current median price of a newly-built home, which has exceeded roughly $400,000 in recent years. This could potentially save first-time buyers on the order of $100,000 per purchase.
Assuming the 30-year fixed mortgage rate holds at roughly 6 percent, the monthly principal-and-interest payment is about $600 per $100,000 borrowed. On a standard 30-year mortgage at that rate, financing $100,000 less principal reduces the monthly principal-and-interest payment by around $600, saving a single family $7,179.18 annually. In a pathway-to-ownership structure, this mortgage-payment comparison is most naturally read at the point of purchase, after the renter’s accumulated credits have been applied to reduce the amount financed, thereby strengthening the affordability effect by lowering the eventual loan balance. On a national scale, “Trump Homes” could save families up to $7.2 billion annually and up to $215.8 billion over the full 30-year amortization period.
Policy Proposal: Implement a Foreign-Buyer Surcharge
The United States could ban foreign homeownership altogether, like New Zealand and Canada have done, or it could borrow the structure of some Canadian provincial taxes or other locations that surcharge foreign buyers.43 Before Canada’s ban on foreign home ownership, Ontario charged foreigners a 25 percent tax on the purchase price of buying a home.44 A U.S. version of this policy could be designed as a steep excise tax on nonresident acquisitions in residential property. The proposed revenue from this tax could be allocated as a block grant to states to design their own down payment assistance programs for first-time homebuyers. Even without this grant, restricting foreign homeownership or imposing a steep tax on it would help open up more of the housing supply for American families.
Proposed revenue from this tax could be substantial. In 2025, foreigners spent $56 billion in home sales in the United States.45 At Ontario’s 25 percent tax rate, this would generate $14 billion in tax revenue, which could be used to reduce the deficit or provide first-time homebuyers with a front-end down payment assistance grant, as shown in the previous example. At the other end of the taxing spectrum, following Spain’s example of a potential 100 percent foreign surcharge, this taxing scheme could generate up to $56 billion in additional tax revenue for a first-time homebuyer grant.
Holding everything else constant, a 25 percent foreign-buyer surcharge could debt-free finance roughly 280,000 $50,000 first-time buyer grants annually, a 100 percent foreign-buyer surcharge could finance roughly 1.12 million in such grants annually, and each $50,000 grant could reduce the buyer’s mortgage payment by about $3,594 per year ($299.13 per month) at a 5.98 percent 30-year rate.
Policy Proposal: Home-Savings Accounts for Down Payments
A critical pro-family policy targets one of the primary barriers to first-time homeownership, the down payment. Tax-advantaged contributions could accelerate intergenerational wealth transfer, strengthen family stability, encourage earlier household formation, and reduce reliance on government subsidies or high-leverage borrowing. We propose a tax-advantaged First-Home Family Savings Account (FHFSA) that gives parents and grandparents a clear incentive to contribute. The simplest structure allows contributions to be tax-deductible or partially tax-credited, with funds growing tax-free and withdrawable only for a first-home down payment.
For example, the policy could allow the parents or grandparents of the buyers to contribute up to $10,000 per beneficiary, with contributions receiving either a deduction from taxable income or a refundable tax credit equal to a percentage of the contribution (for instance, 20 percent). Under that structure, a $10,000 contribution would generate a $2,000 tax credit for the contributor, lowering the after-tax cost of helping members of the next generation purchase a home.
This account model could help first-time homebuyers with their down payments. If family members collectively contribute an assumed cap of $40,000 toward the down payment, the mortgage principal is reduced by $40,000. At roughly a 6 percent 30-year mortgage rate, each $100,000 borrowed costs about $600 per month in principal and interest. That means every $10,000 reduction in the mortgage balance lowers the monthly payment by roughly $60. A $40,000 contribution, therefore, reduces the homeowner’s monthly mortgage payment by about $239, resulting in roughly $2,870 per year in lower payments. Over the life of a 30-year mortgage, that reduction corresponds to $86,155.20 in lower principal-and-interest payments if the loan is held to maturity.
Policy Proposal: Expand Mortgage Portability
Millions of homeowners remain locked into historically low mortgage rates and are reluctant to sell because moving would require refinancing their entire housing debt at today’s higher rates. This dynamic suppresses listings, reduces turnover, and constrains available inventory in the existing-home market. A portability framework would allow homeowners to “port” their existing low-rate mortgage, or a portion of it, to a new property, preserving favorable financing while relocating.
Mortgage portability would allow a homeowner to transfer their existing low-rate mortgage, or a portion of it, to a new property rather than refinancing the entire loan at current market rates. For example, a household with a $300,000 mortgage at 3 percent pays roughly $1,265 per month in principal and interest. Refinancing that same balance at 5.98 percent would raise the payment to about $1,798 per month. Preserving the lower rate through portability saves roughly $530 per month, or about $6,360 per year, for the household. By reducing the financial penalty for moving, portability can increase listings and labor mobility, helping unfreeze supply in high-rate environments without artificially inflating demand or expanding leverage.
Policy Proposal: Eliminate Capital Gains Taxes for Sales to First-Time Homebuyers
Cutting taxes on capital gains for sales to first-time homebuyers could directly incentivize turnover while aligning federal tax policy with entry-level affordability and family formation goals. Under current law, homeowners may exclude up to $250,000 of gain ($500,000 for married couples filing jointly) on the sale of a principal residence if ownership and use requirements are satisfied, but gains above that threshold remain taxable.46 Conditioning full capital gains relief on a sale to a qualified first-time buyer would reduce the tax friction that discourages long-tenured owners from listing their homes, particularly in high-appreciation markets. By increasing the effective after-tax proceeds of a sale, such a policy could bring more starter homes to market without broadly subsidizing higher-income households unrelated to entry-level supply. The result would be more inventory for young families, improved market turnover, and a tax incentive explicitly tied to expanding ownership opportunities rather than merely rewarding accumulated housing wealth.
When more starter homes come onto the market at the same time, competition among buyers eases, and prices tend to moderate. Even a modest increase in turnover that lowers the effective purchase price of a $400,000 starter home by about 2 percent would reduce the price by roughly $8,000. At a 30-year mortgage rate near 5.98 percent, reducing the loan principal by $8,000 lowers the monthly principal-and-interest payment by about $48, or roughly $574 per year for a typical family. Over the full life of the mortgage, that corresponds to approximately $17,300 in lower principal-and-interest payments if the loan is held to maturity.
Projected Cost Savings
Taken together, a family-focused housing policy effort can provide substantial financial relief to young households seeking to enter homeownership. For instance, when a married first-time buyer receives the proposed $50,000 first-home grant, benefits from the lower purchase price of an entry-level “Trump Home,” and supplements their down payment by $40,000 from a family home-savings account, the combined reduction in mortgage principal meaningfully lowers the cost of ownership. Under current mortgage conditions, a household entering the market under these reforms would reduce its monthly principal-and-interest burden sufficiently to generate approximately $16,984.99 in annual housing cost savings. Over the full life of a standard 30-year mortgage, those savings accumulate to at least $509,549.91 in total reduced principal-and-interest payments, assuming the loan is held to maturity and other conditions remain constant.
These savings do not arise from artificial price controls or unsustainable credit expansion; they result from policies that simultaneously expand housing supply, lower barriers to homeownership, and mobilize family capital for down payments. In other words, when families are allowed to purchase lower-cost starter homes, receive targeted first-entry support, and draw on intergenerational savings rather than excessive leverage, the American housing market once again begins to reward household formation rather than punish it. The magnitude of these savings illustrates the central claim of this primer: When housing policy is designed around family formation rather than speculative demand or bureaucratic control, the American dream of homeownership becomes materially attainable again.
Direct Affordability Mechanisms
| Policy | Assumed principal reduction / grant | Monthly P&I savings at 5.98% | Annual savings | 30-year savings | National scale effect |
| “Trump Home” price reduction | $100,000 | $598.27 | $7,179.18 | $215,375.51 | About $7.195B annual savings across 1M homes |
| First-home family savings account (FHFSA) | $40,000 | $239.31 | $2,871.67 | $86,150.20 | Depends on participation |
| Foreign-buyer surcharge block grant at 25% tax level* | $50,000 | $299.13 | $3,589.59 | $107,687.75 | Up to 280,000 families nationwide could receive $14B in block grant assistance |
| Portable mortgages | $529.98(at 3% portable mortgage rate) | $6,359.81 | $190,794.16 | Depends on rate-locked families who refinance or move to a new home in a current higher interest rate market | |
| Capital gains tax elimination | $8,000 | $47.86 | $574.33 | $17,230.04 | Increases the nation’s housing supply |
| Total savings | $16,984.99 | $509,549.91 |
*Foreign-buyer surcharge grants are excluded from the total savings sum because they represent a program-funded transfer mechanism rather than an independent, additive reduction in housing costs. Including them in the calculation alongside other policies would risk double counting, as these grants finance the same down-payment channel addressed by other affordability measures in the table.
Conclusion
Housing affordability is not a technical problem to be tweaked at the margins of credit markets; it is a structural test of whether the United States still builds in proportion to its aspirations. A “families first” housing agenda, therefore, begins with restoring productive capacity, streamlining regulations, and building modest starter homes, all of which are necessary to increase supply.
Housing policy must also realign incentives. First-entry support should target down payments rather than perpetual leverage. Marriage and child-rearing should not be disincentivized by policy but supported. Capital gains and investor structures should not impede turnover or crowd out first-time buyers. Demand and supply must move together, but supply must lead.
The American founding guaranteed liberty, not comfort. The pursuit of happiness requires institutions that make family life possible: attainable homes, safe neighborhoods, upward mobility, and the dignity of ownership. Housing policy, properly ordered, becomes family policy. Family policy, properly ordered, becomes growth policy. And growth policy, properly ordered, becomes national policy. When the United States restores its capacity to build homes, neighborhoods, skilled workers, and durable institutions, it restores the material foundation of the American household and the building blocks of the American dream.
Endnotes
1. Jeff Ostrowski, Bankrate’s 2025 Home Affordability Report, BANKRATE(May 14, 2025), https://www.bankrate.com/mortgages/home-affordability-report/.
2. Joyce A. Martin, Brady E. Hamilton & Michelle J.K. Osterman, Births: Provisional Data for 2024, NAT’L CTR. FOR HEALTH STATS. (2025), https://www.cdc.gov/nchs/data/databriefs/db535.pdf.; Richard Fry, A Record-High Share of 40-Year-Olds in the U.S. Have Never Been Married, PEW RSCH. CTR. (June 28, 2023), https://www.pewresearch.org/short-reads/2023/06/28/a-record-high-share-of-40-year-olds-in-the-us-have-never-been-married/.
3. NAT’L ASS’N OF REALTORS, Profile of Home Buyers and Sellers (2024), https://www.nar.realtor/sites/default/files/2024-11/2024-profile-of-home-buyers-and-sellers-highlights-11-04-2024_2.pdf.
4. HSH, The Salary You Must Earn to Buy a Home in the 50 Largest Metros (Feb. 11, 2026), https://www.hsh.com/finance/mortgage/salary-home-buying-25-cities.html. (For the purposes of this specific study, “afford” is considered as the ability to cover a 28 percent debt-to-income ratio given the principal, interest, tax, and insurance premiums on the median-priced home.)
5. For more on the “families first” agenda, see Paige Hauser, Primer: Family Formation in America’s New Golden Age, CTR. FOR RENEWING AM. (Apr. 11, 2025), https://americarenewing.com/issues/primer-family-formation-in-americas-new-golden-age/.
6. Jonathan Jones, Cities with the Highest Home Price-to-Income Ratios, CONSTRUCTION COVERAGE (Oct. 23, 2025), https://constructioncoverage.com/research/cities-with-highest-home-price-to-income-ratios.
7. Id.
8. Ostrowski, supra note 1.
9. Chang-Tai Hsieh & Enrico Moretti, Housing Constraints and Spatial Misallocation, 11 AM. ECON. J.: MACROECON. 1 (2019).
10. Edward L. Glaeser & Joseph Gyourko, The Impact of Building Restrictions on Housing Affordability, FED. RES. BANK OF N.Y., ECON. POL’Y REV. (2003), https://www.newyorkfed.org/medialibrary/media/research/epr/03v09n2/0306glae.pdf.
11. Id.
12. Id.
13. See Hsieh & Moretti, supra note 9.
14. Howard Husock, Trump Houses Are a Good Idea—If, AM. ENTER. INST. (Feb. 9, 2026), https://www.aei.org/opportunity-social-mobility/trump-houses-are-a-good-idea-if/.
15. COTALITY, Investors Buy Nearly One-Third of Homes Across US (Aug. 28, 2025), https://www.cotality.com/press-releases/investors-buy-nearly-one-third-of-homes-across-us.
16. Id.
17. David Lucca, Taylor Nadauld & Karen Shen, Credit Supply and the Rise in College Tuition: Evidence from the Expansion in Federal Student Aid Programs, FED. RSRV. BANK OF N.Y., (Feb 2015), https://www.newyorkfed.org/medialibrary/media/research/staff_reports/sr733.p.
18. 26 U.S.C. § 163(h)(3).
19. Tax Cuts and Jobs Act, Pub. L. No. 115-97, § 1104 (2017); One Big Beautiful Bill Act, Pub. L. No. 119-21, § 70108 (2026).
20. 26 U.S.C. § 163(h)(3)(F)(IV).
21. Id.
22. Aron Klein & Alan Cui, Quantitative Easing and Housing Inflation Post-COVID, THE BROOKINGS INST. (Oct. 8, 2025), https://www.brookings.edu/articles/quantitative-easing-and-housing-inflation-post-covid/.
23. Jerome H. Powell, Chair, Bd. of Governors of the Fed. Rsrv. Sys., Understanding the Fed’s Balance Sheet (Oct. 14, 2025) (speech), https://www.federalreserve.gov/newsevents/speech/powell20251014a.htm.
24. Howard Husock, Zohran Mamdani’s Socialist Housing Plan Could Crash New York’s Rickety Rental Market, AM. ENTER. INST. (Feb. 13, 2026), https://www.aei.org/op-eds/zohran-mamdanis-socialist-housing-plan-could-crash-new-yorks-rickety-rental-market-2/.
25. Mark Sheppard, The Cost of Living | Income & Homes in an American City, GOOD ECONOMICS (2026), https://datawrapper.dwcdn.net/4TAfC/1/.
26. See Husock, supra note 24.
27. Bill Chappell, California Gives Final OK to Require Solar Panels on New Houses, NAT’L PUB. RADIO (Dec. 6, 2018), https://www.npr.org/2018/12/06/674075032/california-gives-final-ok-to-requiring-solar-panels-on-new-houses
28. Id.
29. Rebecca Diamond, Tim McQuade & Franklin Qian, The Effects of Rent Control Expansion on Tenants, Landlords, and Inequality: Evidence from San Francisco, 109 AM. ECON. REV. 3365 (2019), https://pubs.aeaweb.org/doi/pdfplus/10.1257/aer.20181289.
30. Id.
31. Id.
32. Lyman Stone, More Crowding, Fewer Babies: The Effects of Housing Density on Fertility, INST. FOR FAM. STUD. (June 4, 2024), https://ifstudies.org/blog/more-crowding-fewer-babies-the-effects-of-housing-density-on-fertility.
33. Id.
34. Id.
35. Id.
36. Howard Husock, What Harvard’s Raj Chetty Overlooks About Upward Mobility, AM. ENTER. INST. (Feb. 12, 2026), https://www.aei.org/op-eds/what-harvards-raj-chetty-overlooks-about-upward-mobility/.
37. Id.
38. Raj Chetty, Nathaniel Hendren & Lawrence F. Katz, The Effects of Exposure to Better Neighborhoods on Children: New Evidence from the Moving to Opportunity Experiment, 106 AM. ECON. REV. 855 (2016).
39. Id. at 857.
40. See Hsieh & Moretti, supra note 9.
41. Id.
42. Patrick Clark & Sridhar Natarajan, Builders Push “Trump Homes” in Pitch for a Million Houses, BLOOMBERG (Feb. 3, 2026), https://www.bloomberg.com/news/articles/2026-02-03/builders-push-trump-homes-to-win-backing-for-a-million-houses.
43. Prohibition on the Purchase of Residential Property by Non-Canadians Act, S.C. 2022, c. 10 (Can.).; Overseas Investment Amendment Act 2018 (N.Z. No. 5-4).
44. Government of Ontario, Non-Resident Speculation Tax (2017), https://www.ontario.ca/document/non-resident-speculation-tax.
45. See NAT’L ASS’N OF REALTORS, supra note 3.
46. 26 U.S.C. § 121.